您好,歡迎訪問恒源機械官方網站!
衛生紙復卷機上,存在線速度差的兩輥組間的衛生紙原紙(以下簡稱原紙)紙幅張力與該速度差并不是簡單的線性關系。在實際計算中,必須考慮進入兩輥組前原紙的張力狀態,并將其作為一個動態的變化過程進行分析。從本文研究得到的結果來看,兩輥組間的原紙張力取決于進入輥組1前的原紙拉伸狀態、輥組1與輥組2的線速度;隨時間的推移,原紙張力趨于恒定值。原紙通過多個輥組后,原紙進入復卷的紙幅張力仍趨于一恒定值,這符合實際生產中具有輥組恒定速差的衛生紙復卷機能穩定生產的狀況。
1 復卷過程中紙幅張力的產生
衛生紙原紙(以下簡稱“原紙”)通過復卷機上的輥組時,通常受輥組間輥面線速度差的影響,原紙在輥組間被拉長,從而產生紙幅張力(見圖1)。如圖1所示,設輥組1的線速度為V1、輥組2的線速度為V2,當兩輥組的走紙速度產生差別,即V1與V2不相等時,兩輥組間的原紙就會被拉長,產生紙幅張力。

在當今的衛生紙復卷機上,通常會配備速度調節裝置。通過調節復卷機上各輥組的輥面線速度,使原紙在走紙、復卷過程中產生合理的紙幅張力,從而達到理想的復卷效果。
2 紙幅張力通用計算公式
紙幅張力主要是通過兩傳動單元之間的線速度差產生的。普遍認為,紙幅張力與線速度差的計算關系如下

式(1)中,T為原紙承受的張力,A為原紙截面積,L為兩輥組傳動點之間的距離,E為原紙彈性模量。
假設兩傳動單元的線速度K、K恒定,則式(1)為:

從式(1)~式(4)可知,假設在線彈性模型下,原紙的截面積A和彈性模量E均為常數,當線速度差(V2一V1)恒定時,紙幅張力隨時間t的推移而不斷增大,原紙不斷被拉長。當紙幅張力增大到一定程度,超出原紙所能承受范圍時,原紙將被拉斷。
在實際生產過程中,使用機械式調速器(如無級調速輪、錐帶輪組)的衛生紙復卷機在操作人員調節好輥組的輥面線速度后能持續運轉,紙幅張力并沒有明顯持續增大,更不會因紙幅張力過大而發生斷紙現象。
因此,本課題對紙幅張力計算公式(式(1))提出質疑,并從原紙伸長率的角度對紙幅張力進行動態分析。
3 兩輥組間原紙伸長率的分析計算
因為從原紙伸長率的角度進行紙幅張力分析較為簡便,所以通過分析兩輥組間原紙的伸長變形來探討其產生的紙幅張力。
如圖1所示,設輥組1線速度為V1,輥組2線速度為V2,兩輥組傳動點之間長度為L;假設在進入輥組1前原紙伸長量△l=0,在時間t=0的初始狀態下,輥組1與輥組2間原紙伸長量△l=0。
將兩輥組運轉時原紙伸長變形的過程劃分為若干個細小的時間間隔,逐步分析原紙伸長量的變化。
在第1個時間間隔△t內,輥組2從兩輥組間帶走長度為L2的原紙,而輥組1則往兩輥組間送進長度為L1的原紙,因此,在第1個時間間隔內,兩輥組間原紙由L - L2 + L1 拉長為L,其伸長率§1,(伸長量與原長度的比值)為:





從式(29)和式(30)可以看出,存在速度差的兩輥組問原紙伸長量隨時間的不斷推移而趨于恒定值。
從上述分析可以看出,紙幅張力通用計算公式式(1)~式(4)并沒有考慮輥組1前和兩輥組問原紙狀態的差異,以及輥組間原紙原長度的變化。如果把輥組1看作靜止不動,輥組2相對輥組1不斷地運轉,兩輥組間原長度一定的原紙不斷被拉長(式(1)~式(4)描述的就是這種狀態)。很明顯,這與實際情況不符。

5 兩輥組間紙幅伸長率及紙幅張力的變化曲線通過實例計算來探討兩輥組問紙幅伸長率的變化。
假設輥組1的線速度V1 = 5m/s,輥組2的線速度V2 = 5.5 m/s,輥組1與輥組2兩傳動點間的距離L=1 m。把時間間隔定為0.1s,則在第1個時間間隔內輥組2從兩輥組間帶走的原紙長度L2 = 0.55m,輥組1往兩輥組間送進的原紙長度為L1=0.5m,根據式(12)和式(13),反復遞推計算各時間間隔內原紙原長率和伸長率(見表1)。

在線彈性模型下,紙幅張力與伸長率成正比關系,因此,圖2也可以反映兩輥組間紙幅張力的變化情況。
6 進入輥組前原紙伸長量不為零時的紙幅張力
前述兩輥組間紙幅張力計算公式的推導是基于進入輥組1前原紙伸長量為零的條件下得出,但在實際生產中,進入輥組1前的原紙通常已經被拉長,即其伸長量不為零,因此,對兩輥組間原紙的紙幅張力計算公式重新進行推導,以使該公式更符合實際情況。
實際上,在復卷機正常運行之前,通常需要進行“人工穿紙”,讓原紙預先通過復卷機上相應的輥組。假設操作人員首先把紙頭伸進輥組1的2個輥筒之間,然后低速運行設備,待輥組1前的原紙行進穩定并且達到穩定的紙幅張力后,再把紙頭伸進輥組2的2個輥筒之間,繼續低速運行(見圖3)。





由式(51)和式(52)可知,當進入輥組1前原紙的伸長量不為零時,輥組1與輥組2間原紙伸長率仍隨時間的延長趨于恒定值。根據實際生產經驗,對于各輥組速度調節恒定的復卷機,無論是等一個輥組走紙穩定后再穿下一個輥組,還是未等原紙在輥組中走紙穩定而連續通過各個輥組的“穿紙”方式,最后隨時間推移,復卷機上的任意兩輥組間的原紙總是以相同紙幅張力進行走紙。
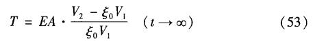
因此,兩輥組間逐漸趨于恒定的原紙伸長率δ應該與進入第一個輥組前的伸長率δ0和兩輥組的線速度有關,而與原紙通過輥組1、輥組2的時間過程無關,即式(51)可以更準確地描述輥組間原紙紙幅張力的變化。
結合式(33),可得到進人輥組前原紙伸長量不為零的條件下,兩輥組間紙幅張力T為:




通常,衛生紙復卷機都會配備壓光輥、壓花輥等輥組,以改變原紙的表面性能和外觀。這些輥組使用一定的輥問壓力壓碾原紙,不可避免地使原紙紙面發生延展,使原長度發生變化。因此,為了更準確地描述衛生紙復卷機上原紙紙幅張力的變化,必須對式(59)進行修正。



以上就是小編關于“關于衛生紙加工設備的探究與分析”的相關介紹,希望能幫到你!許昌恒源紙品機械有限公司是一家擁有30年行業生產經驗,專注研發、生產衛生紙復卷機、抽紙機、餐巾紙機、衛生紙加工設備等生活用紙深加工產品的公司!
想了解更多衛生紙機器設備多少錢一臺,抽紙機,衛生紙復卷機等相關資訊信息,敬請關注:www.szpfdkj.com.cn